合金采购与管理决策支持系统
来源: 中国金属学会 发布时间:2022-06-22
一、研究的背景与问题
在钢铁企业,除去设备投资,成本最大的莫过于铁矿石、合金、能源等几大方面。为了降低总的合金成本(通过降低产品合金含量等技术手段带来的成本降低不在此列),宝钢决定利用新一代人工智能与数学优化技术研制合金采购与管理决策支持系统。为此研究院智能所与采购部、财务部、炼钢厂等多部门合作,从合金采购优化、多级库存优化、合金使用管理等多方面入手,以冶金机理计算、智能优化技术、大数据技术、采购专家知识技术等为主要手段,研制决策支持信息系统。
二、解决问题的思路与技术方案
从合金管理的角度,合金需求的预测是研发重点之一,如何根据生产计划计算出合金的真正需求为采购决策的重要基础。以冶金机理计算为主,结合生产工艺的要求与过程控制模型,通过分析生产实绩信息建立了多个炼钢厂、多条精炼路径的模型群,有效准确地确定不同钢种的合金消耗标准,从而能精确预测炼钢合金的需求量。
合金需求预测模型同样可以根据不同钢种的产量计算炼钢合金的实际用量,通过对比使用量与领用量,可以评价合金的管理水平,发现合金失窃等非正常消耗方面的漏洞。
从合金采购优化而言,合金价格预测、合金需求预测是重要基础。众所周知,前者受市场等大环境影响变化莫测,十分困难。本系统通过收集市场信息(如网页抓取、行业共享),以人机结合,专家决策为主的方式进行。该方法虽然精度未必高,但大量市场和生产信息的呈现,各类辅助决策支持模型的计算,使得专家的决策更科学快捷。
过多或过少的库存都会给企业带来不必要的经济损失和生产的波动。库存优化需要解决的问题是在预知未来需求的前提下,有计划地保持合理库存,在保证企业正常生产的情况下,使得由采购成本和储存费用构成的原料综合成本最优。
三、主要创新性成果
本系统包含了一套计算模型(如下图)。
图1、合金采购与管理决策支持系统技术路线
1、合金计算与校验分析子系统
合金消耗标准的确定是本系统的重要基础,而炼钢合金数据的准确性则是合金标准计算的前提。炼钢合金数据,由于多种原因,往往存在着很多错误,因此,首先需要对炼钢合金数据进行校验分析。
钢铁企业合金消耗主要发生在炼钢厂的转炉、电炉与精炼工序。合金消耗不但取决于生产的钢种,而且与具体的生产工艺密切相关。不同出钢记号的钢水生产,消耗的合金品种与数量差别较大。即使同一出钢记号钢水的生产,用于成分调整的合金消耗量比较稳定,而用于脱氧与化学升温的合金,由于受生产工艺、过程控制水平与生产调度的影响,波动较大。
合金消耗的影响因素可归纳为以下三个方面:(1)不同生产单元的影响:同一出钢记号的钢水可能在不同的生产单元生产,有一些钢种既可以在第一炼钢厂生产,又可以在第二炼钢厂生产,由于工艺条件的不同,不同的生产单元,所用的合金品种不同。(2)生产工艺的变化:生产工艺的改变或改进、新钢种的开发,所用合金品种的变化,致使的合金消耗品种与数量的改变。此外,合金价格的变化也会导致所用合金倾向性的改变。(3)不同工艺路径的影响:在同一生产单元,走不同的工艺路径,对合金消耗也有一定的影响。
计算流程如下图:
图2. 合金消耗计算流程
2 合金需求预测模型
合金需求的预测是合金采购优化模型的前提。由于未来生产周期、合同的不确定性,提出了一种基于冶金机理与时间序列理论的合金需求预测模型。
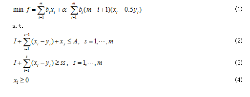
3 智能采购模型
合金采购模型属于多源多阶段采购优化模型,在合金需求预测的基础上,以采购成本和库存成本的总成本最少为目标,综合考虑存储能力、安全库存约束条件,建立了如下的线性规划模型,详见式(1)-(4):
四、应用情况与效果
1、辅助采购的应用
系统投运后,宝钢原料采购中心逐渐从人工采购切换到模型辅助采购,采购周期从2个月缩短到1月,平均库存有了较大程度地降低。
2 财务标准值的应用
具体钢种的合金财务成本计算一直是大型钢厂难以准确表达之处。本系统的研制与实际应用为宝钢合金标准值计算奠定了坚实的基础,并提供了直接计算的模型和软件工具。
3 生产厂合金管理的应用
本系统对于炼钢厂的合金管控主要体现在两方面,一是不同工厂以及不同班组合金使用的掌控和评价,另一方面是计算出合金实际用量与领用量的差别。后者在国内有较强现实意义,可以判断合金是否有失窃或者称量误差等非正常损耗,这对于“堵漏洞”具有指导意义。
信息来源:中国宝武宝钢研究院智能所智能优化团队
版权与免责声明
【1】本网站凡注明“学会秘书处”的所有作品,版权均属于四川省金属学会所有,未经书面授权,任何媒体、网站或个人不得转载、摘编或利用其它方式使用上述作品。已经本网站协议授权的媒体或网站,应在授权范围内使用上述作品,并注明“来源:四川省金属学会”。违者本网站将追究其相关法律责任。
【2】本网站凡注明“来源:XXX(非学会秘书处)”的作品,均转载自其它媒体,登载此作品出于传递更多信息之目的,不代表学会观点或证实其描述,不对其真实性负责。作品内容仅供参考,如转载稿件涉及版权等问题,请在两周内来电或来函与四川省金属学会联系。



